2018年第三季度,全省细颗粒物(PM2.5)平均浓度为28μg/m3,同比下降22.2%;可吸入颗粒物(PM10)平均浓度为58μg/m3,同比下降17.1%;二氧化硫(SO2)平均浓度为11μg/m3,同比下降15.4%;二氧化氮(NO2)平均浓度为25μg/m3,同比下降3.8%;重污染天数平均为0.1天,同比持平;环境空气质量综合指数平均为3.86,同比下降12.5%;优良率平均为67.9%,同比增加1.1个百分点。
传输通道城市细颗粒物(PM2.5)平均浓度为34μg/m3,同比下降19.0%;可吸入颗粒物(PM10)平均浓度为66μg/m3,同比下降17.5%;二氧化硫(SO2)平均浓度为12μg/m3,同比下降14.3%;二氧化氮(NO2)平均浓度为29μg/m3,同比持平;重污染天数平均为0.3天,同比增加0.2天;环境空气质量综合指数平均为4.40,同比下降10.8%;优良率平均为56.7%,同比减少1.9个百分点。
一、重污染天数(AQI﹥200)
重污染天数最少的城市是青岛等15市,未出现重污染天气;最多的城市是济南和聊城市,为1天。16市同比持平;聊城市同比增加,增加天数为1天。


二、细颗粒物(PM2.5)
细颗粒物浓度最好的城市是威海市,为15μg/m3,最差的城市是聊城市,为36μg/m3。17市均同比下降,下降幅度最大的城市是日照市,为38.7%。


三、可吸入颗粒物(PM10)
可吸入颗粒物浓度最好的城市是威海市,为31μg/m3,最差的城市是济南市,为74μg/m3。17市均同比下降,下降幅度最大的城市是东营市,为27.3%。


四、二氧化硫(SO2)
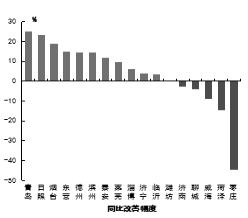
二氧化硫浓度最好的城市是青岛和威海市,为6μg/m3,最差的城市是莱芜市,为16μg/m3。14市同比下降,下降幅度最大的城市是东营市,为41.2%;潍坊市同比持平;2市同比上升,上升幅度最大的城市是聊城市,为42.9%。


五、二氧化氮(NO2)
二氧化氮浓度最好的城市是威海市,为12μg/m3,最差的城市是济南市,为37μg/m3。11市同比下降,下降幅度最大的城市是青岛市,为25.0%;潍坊市同比持平;5市同比上升,上升幅度最大的城市是枣庄市,为44.4%。


六、优良率
优良率最好的城市是青岛市,为95.6%,最差的城市是滨州市,为45.8%。11市同比增加,增加幅度最大的城市是青岛市,为19.6个百分点;6市同比减少,减少幅度最大的城市是枣庄市,为14.2个百分点。


七、环境空气质量综合指数
环境空气质量综合指数最好的城市是威海市,为2.42,最差的城市是济南市,为4.72。17市均同比下降,下降幅度最大的城市是日照市,为22.7%。

